Pigment Yellow 97
Pigment Yellow 97 is a bright, durable yellow pigment commonly used in coatings, inks, plastics, and paints. Known for its excellent lightfastness, weather resistance, and non-toxic properties, it offers vibrant color with high opacity. This pigment provides superior color strength and is often chosen for applications requiring consistent, high-quality yellow hues. It’s widely used in industrial sectors such as automotive, textiles, and packaging, offering a reliable and long-lasting color solution. Pigment Yellow 97 is valued for its versatility, environmental safety, and ability to maintain color integrity even under harsh conditions.
| Szinonimák | CIPigment Yellow 97; CIPY97; PY97; PY97 |
| CI szám | 11767 |
| CAS szám | 12225-18-2 |
| EU-szám | 235-427-3 |
| Molekuláris képlet | C26H27CINN4O8S |
| Vegyi család | Mono azo |
| Szín | ![]() |
| Színárnyalat-eloszlás |
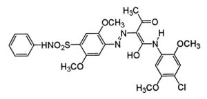
Molekuláris felépítés:

Pigment sárga 97 Fizikai, kémiai és tartóssági tulajdonságok
| Molekuláris tömeg | 591.08 |
| PH érték | 7.5 |
| Sűrűség | 1.5 |
| Olaj abszorpció (ml / 100 g)% | 45 |
| Könnyűség | 7 |
| Hőellenállás | 200 (°C) |
| Vízállóság | 5 |
| Olajállóság | 4 |
| Savas ellenállás | 5 |
| Lúg ellenállás | 5 |
Alkalmazás
A Pigment Yellow 97 különféle iparágakban alkalmazható élénk sárga színének köszönhetően. Néhány gyakori alkalmazás:
Festékek és bevonatok: A Pigment Yellow 97 festékek és bevonatok készítésére szolgál dekorációs és védelmi célokra. Vízbázisú vagy oldószerbázisú festékekbe beépítve sárga árnyalatot biztosít.
Nyomdafestékek: A pigmentet sárga nyomdafestékek előállítására használják olyan alkalmazásokhoz, mint a csomagolás, kiadványok és egyéb nyomtatott anyagok.
Műanyagok: A Pigment Yellow 97-et gyakran használják műanyagok, köztük PVC (polivinil-klorid), poliolefinek és más polimer anyagok színezésére. Tartós és stabil sárga színt kölcsönöz a műanyag termékeknek.
Textíliák: A textiliparban ez a pigment szövetek festésére használható, sárga színt adva a textíliáknak és a ruháknak.
Tintasugaras tinták: A Pigment Yellow 97 felhasználható tintasugaras tinták készítéséhez képek és szövegek különféle hordozókra történő nyomtatásához.
Művészi színek: A művészek és a művészeti kellékek gyártói használhatják a Pigment Yellow 97-et olajfestékek, akrilok, akvarellek és más művészi médiumok előállításához.
Egyéb alkalmazások: A pigment számos más alkalmazásban is alkalmazható, ahol stabil és élénk sárga színre van szükség, például kozmetikumok, gumitermékek és speciális bevonatok színezésére.
Kapcsolódó információ
Pigment Yellow 97 is a hydroxyl-containing polycarboxylic acid that is used in the production of paints and plastics. It has an oxidation potential of +0.6 volts, which indicates that it is reactive. Pigment Yellow 97 has an absorption maximum at 526 nm and a molecular weight of 317.09 g/mol. The chemical structure of Pigment Yellow 97 consists of a molecule with a reactive carboxyl group and a reactive hydroxyl group, as well as an intramolecular hydrogen bond between the two groups. This pigment also forms coordination complexes with metals such as iron oxides to form particle pigments or mixtures with glycol esters to form solid particles or dispersions, respectively.
Nevek és azonosítók
IUPAC név: N-(4-klór-2,5-dimetoxifenil)-2-[[2,5-dimetoxi-4-(fenilszulfamoil)fenil]diazenil]-3-oxobutamid
InChI=1S/C26H27ClN4O8S/c1-15(32)25(26(33)28-18-12-20(36-2)17(27)11-21(18)37-3)30-29-19- 13-23(39-5)24(14-22(19)38-4)40(34,35)31-16-9-7-6-8-10-16/h6-14,25,31H, 1-5H3,(H,28,33)
InChIKey: WNWZKKBGFYKSGA-UHFFFAOYSA-N
Kanonikus SMILES: CC(=O)C(C(=O)NC1=CC(=C(C=C1OC)Cl)OC)N=NC2=CC(=C(C=C2OC)S(=O)(= O)NC3=CC=CC=C3)OC
Számított tulajdonságok
| Ingatlan neve | Ingatlan érték |
| Molekuláris tömeg | 591.0 g/mol |
| XLogP3-AA | 4.6 |
| Hidrogénkötés donorszám | 2 |
| Hidrogénkötés-akceptorok száma | 11 |
| Forgatható kötvényszám | 12 |
| Pontos mise | 590.1238127 Da |
| Monoizotóp mise | 590.1238127 Da |
| Topológiai poláris felszíni terület | 162 Ų |
| Nehéz atomok száma | 40 |
| Formális díj | 0 |
| Bonyolultság | 974 |
| Izotóp atomok száma | 0 |
| Meghatározott atom sztereocentrum száma | 0 |
| Undefined Atom Stereocenter Count | 1 |
| Meghatározott Bond sztereocentrum száma | 0 |
| Undefined Bond Stereocenter Count | 0 |
| Kovalens kötésű egységszám | 1 |
| A vegyület kanonizálva van | Igen |











